雙氧水管道流量計在使用中刻度轉換問題的實例分析
點擊次數:2772 發布時間:2021-01-16 13:26:32
雙氧水管道流量計的刻度一般是在出廠時用水、空氣或者其他介質在標準狀態下進行標定的;另外,在實驗室的檢定過程中,由于環境影響以及實驗條件的限制,實際檢定條件一般也達不到流量計標定狀態,因此為了能夠在實驗室狀態對流量計進行檢定,就需要對實驗條件下標定的流量計進行刻度流量的換算。
1、工作原理
雙氧水管道流量計是在一個錐形管內裝有上下移動的浮子,并且始終保持浮子前后壓降不變,通過改變浮子與錐形管壁之間的流通面積來改變流量,因此也稱為恒壓降流量計或變面積流量計 。當流體流經錐形管時,由于浮子的節流降壓作用,在浮子的上下游產生一個壓力降,此壓力降與浮子*大截面積的乘積即為浮子受到的上升力,同時由于被測流體流經浮子表面時也會產生粘性力,其方向與上升力相同,當兩者的合力大于浮子的自重力時,浮子便會繼續上升;然而隨著浮子的上升浮子與錐形管壁之間的環隙面積的增大,相同流量下流體流速便會減小,浮子上下端面的壓力差隨即會降低,因此作用于浮子的上升力與粘性力減小。在浮子移動過程中,當上升力、粘性力和重力相平衡時浮子便會靜止,保持在平衡位置,此時便可以讀出浮子的瞬時流量值。這就是雙氧水管道流量計工作的基本原理—等壓力降原理。
2、流量方程
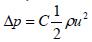
當流體流經雙氧水管道流量計錐形管時,浮子的上升高度與流量存在一定的對應關系。在一定流量下浮子受合力為零,保持在平衡位置,根據力平衡進行分析:(1)浮子受到的上升力F1。浮子上下游壓力差&p與環形通道中流體流速的平方成正比:

因此浮子所受上升力為

式中Af 為浮子的迎流面積,單位為m2,u 為流體的流速,單位為m/s, r 為流體密度,單位為kg/m,C 為阻力系數,無量綱,受介質粘度以及浮形狀等因素影響。(2)浮子所受浮力是流體密度與浮子體積的函數,有

,式中:f V 為浮子的體積,單位為m,g 為當地重力加速度,單位為m/s2。
(3)浮子的自重

當浮子受合力為零時處于平衡位置,有

進而得到

可以看出,浮子無論在什么位置保持平衡,流體的流速是個定值,因此,體積流量與環形流通面積成正比。則有體積流量計算公式:

其中: V q —體積流量,單位m/h;DF —流量計的環形流通面積,單位為m2。
3、刻度轉換方法
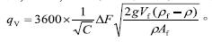
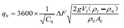
標準狀態下標定的雙氧水管道流量計的介質密度、阻力系數、體積流量分別用0 、0 C 、q0 表示,則體積流量可表示為

實際標定介質的密度、浮子阻力系數、體積流量用C 、q 表示,則體積流量為

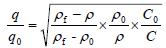
因此,實際標定介質的體積流量與標準狀態下介質的體積流量之間有下述關系:

當標準狀態下的標定介質與實際標定時介。質狀況比較接近,因此粘度相差不大時,可以不考慮浮子阻力系數的影響。因此有:

4、刻度轉換實例分析
實驗室現有一臺DN50 口徑,準確度等級為4.0 級,浮子材料為不銹鋼,標準狀態(20℃)下標定介質為乙醇的雙氧水管道流量計,其刻度流量范圍為(2~20)m/h。在實驗室條件下,由于條件限制只能用水流量標準裝置進行標定,裝置編號200904018,測量范圍為DN(15~50)mm,流量范圍為(0.12~60)m/h,先后使用標準表法和稱重法對該雙氧水管道流量計的5m/h 流量點分別進行6 次標定。測量過程中水溫保持(23.1±0.1)℃,進水口處水壓保持在180kPa~195kPa 范圍。裝置使用標準表為電磁流量計,*一次測量標準表讀數為3.914 m/h,*二次為3.918 m/h,*三次為3.917 m/h,*四次為3.920m/h,*五次為3.919 m/h,*六次為3.916 m/h。稱重法測量6次的數據分別為:*一次測量時間為61.28 秒,電子稱讀數為67.64kg,*二次測量時間為62.33 秒,電子稱讀數為68.08kg,*三次測量時間為61.99 秒,電子稱讀數為67.96kg,*四次測量時間為62.57 秒,電子稱讀數為68.44kg,*五次測量時間為62.45 秒,電子稱讀數為68.42kg,*六次測量時間為61.29 秒,電子稱讀數為67.69kg。
通過查技術手冊可知,乙醇密度為789.2kg/m,20℃時乙醇粘度為1.2×10-3Pa·s,水溫為23.1℃時水的密度為997.513kg/m,動力粘度為0.9358×10-3Pa·s,浮子材料為不銹鋼,密度為7920kg/m。
當浮子穩定在平衡位置5m/h 處時,由標準表讀數得出流量平均值為q1=3.92m/h。由電子稱的讀數得出稱重法流量平均值為q2=3.96m/h。另外,兩種介質的粘度相差不大,因此可以不考慮兩種介質中浮子的阻力系數對流量的影響,另外還可以推算出刻度流量的理論計算值為:

由于該雙氧水管道流量計的準確度等級為4.0 級,因此在5m/h 流量點換算后的流量取值范圍為3.84×(1±4%)m/h,即(3.69~3.99)m/h。通過上述實驗以及對試驗數據的分析可知,在介質粘度相差不大時,可以對雙氧水管道流量計刻度流量進行換算,其實驗結果滿足理論計算值的允許范圍。但是當實際標定的介質與流量計出廠標定時介質狀態相差較大時,浮子阻力系數的影響不能忽略,則需要考慮介質粘度的影響。
選擇合適的雙氧水專用流量計的流量測量的重大影響
雙氧水流量計在雙氧水廠流量測量中的應用
雙氧水流量計價格的電磁場會影響工人的健康嗎
流量測量中使用雙氧水流量計的十個原因
關于工業雙氧水流量計安裝時的注意事項
正確理解雙氧水計量表的誤差產生原因及調整方法
雙氧水流量計勵磁系統硬件研制
智能雙氧水流量計的原理與檢修時出現的問題分析與解決方案
雙氧水管道流量計在使用中刻度轉換問題的實例分析
工業雙氧水流量計在鎢礦選廠生產自動化監控系統中的應用
雙氧水計量表,工業雙氧水流量計
工業雙氧水流量計,雙氧水計量表
雙氧水流量表,雙氧水計量表
雙氧水流量計價格
雙氧水流量計價格,工業雙氧水流量計
雙氧水流量表,雙氧水流量計價格
雙氧水計量表,雙氧水流量計價格
雙氧水流量表,工業雙氧水流量計
1、工作原理
雙氧水管道流量計是在一個錐形管內裝有上下移動的浮子,并且始終保持浮子前后壓降不變,通過改變浮子與錐形管壁之間的流通面積來改變流量,因此也稱為恒壓降流量計或變面積流量計 。當流體流經錐形管時,由于浮子的節流降壓作用,在浮子的上下游產生一個壓力降,此壓力降與浮子*大截面積的乘積即為浮子受到的上升力,同時由于被測流體流經浮子表面時也會產生粘性力,其方向與上升力相同,當兩者的合力大于浮子的自重力時,浮子便會繼續上升;然而隨著浮子的上升浮子與錐形管壁之間的環隙面積的增大,相同流量下流體流速便會減小,浮子上下端面的壓力差隨即會降低,因此作用于浮子的上升力與粘性力減小。在浮子移動過程中,當上升力、粘性力和重力相平衡時浮子便會靜止,保持在平衡位置,此時便可以讀出浮子的瞬時流量值。這就是雙氧水管道流量計工作的基本原理—等壓力降原理。
2、流量方程
當流體流經雙氧水管道流量計錐形管時,浮子的上升高度與流量存在一定的對應關系。在一定流量下浮子受合力為零,保持在平衡位置,根據力平衡進行分析:(1)浮子受到的上升力F1。浮子上下游壓力差&p與環形通道中流體流速的平方成正比:

因此浮子所受上升力為

式中Af 為浮子的迎流面積,單位為m2,u 為流體的流速,單位為m/s, r 為流體密度,單位為kg/m,C 為阻力系數,無量綱,受介質粘度以及浮形狀等因素影響。(2)浮子所受浮力是流體密度與浮子體積的函數,有

,式中:f V 為浮子的體積,單位為m,g 為當地重力加速度,單位為m/s2。
(3)浮子的自重

當浮子受合力為零時處于平衡位置,有

進而得到

可以看出,浮子無論在什么位置保持平衡,流體的流速是個定值,因此,體積流量與環形流通面積成正比。則有體積流量計算公式:

其中: V q —體積流量,單位m/h;DF —流量計的環形流通面積,單位為m2。
3、刻度轉換方法
標準狀態下標定的雙氧水管道流量計的介質密度、阻力系數、體積流量分別用0 、0 C 、q0 表示,則體積流量可表示為

實際標定介質的密度、浮子阻力系數、體積流量用C 、q 表示,則體積流量為

因此,實際標定介質的體積流量與標準狀態下介質的體積流量之間有下述關系:

當標準狀態下的標定介質與實際標定時介。質狀況比較接近,因此粘度相差不大時,可以不考慮浮子阻力系數的影響。因此有:

4、刻度轉換實例分析
實驗室現有一臺DN50 口徑,準確度等級為4.0 級,浮子材料為不銹鋼,標準狀態(20℃)下標定介質為乙醇的雙氧水管道流量計,其刻度流量范圍為(2~20)m/h。在實驗室條件下,由于條件限制只能用水流量標準裝置進行標定,裝置編號200904018,測量范圍為DN(15~50)mm,流量范圍為(0.12~60)m/h,先后使用標準表法和稱重法對該雙氧水管道流量計的5m/h 流量點分別進行6 次標定。測量過程中水溫保持(23.1±0.1)℃,進水口處水壓保持在180kPa~195kPa 范圍。裝置使用標準表為電磁流量計,*一次測量標準表讀數為3.914 m/h,*二次為3.918 m/h,*三次為3.917 m/h,*四次為3.920m/h,*五次為3.919 m/h,*六次為3.916 m/h。稱重法測量6次的數據分別為:*一次測量時間為61.28 秒,電子稱讀數為67.64kg,*二次測量時間為62.33 秒,電子稱讀數為68.08kg,*三次測量時間為61.99 秒,電子稱讀數為67.96kg,*四次測量時間為62.57 秒,電子稱讀數為68.44kg,*五次測量時間為62.45 秒,電子稱讀數為68.42kg,*六次測量時間為61.29 秒,電子稱讀數為67.69kg。
通過查技術手冊可知,乙醇密度為789.2kg/m,20℃時乙醇粘度為1.2×10-3Pa·s,水溫為23.1℃時水的密度為997.513kg/m,動力粘度為0.9358×10-3Pa·s,浮子材料為不銹鋼,密度為7920kg/m。
當浮子穩定在平衡位置5m/h 處時,由標準表讀數得出流量平均值為q1=3.92m/h。由電子稱的讀數得出稱重法流量平均值為q2=3.96m/h。另外,兩種介質的粘度相差不大,因此可以不考慮兩種介質中浮子的阻力系數對流量的影響,另外還可以推算出刻度流量的理論計算值為:

由于該雙氧水管道流量計的準確度等級為4.0 級,因此在5m/h 流量點換算后的流量取值范圍為3.84×(1±4%)m/h,即(3.69~3.99)m/h。通過上述實驗以及對試驗數據的分析可知,在介質粘度相差不大時,可以對雙氧水管道流量計刻度流量進行換算,其實驗結果滿足理論計算值的允許范圍。但是當實際標定的介質與流量計出廠標定時介質狀態相差較大時,浮子阻力系數的影響不能忽略,則需要考慮介質粘度的影響。
上一篇:智能雙氧水流量計的原理與檢修時出現的問題分析與解決方案


