相關產品推薦更多 >>
電鍍污水管道流量計價格測量誤差原因剖析及對策
點擊次數:3358 發布時間:2020-12-24 09:24:05
摘 要 簡要介紹了電鍍污水管道流量計價格的基本原理,結合實際,詳細分析了電鍍污水管道流量計價格測量誤差產生的原因,并給出了相應的減小測量誤差的措施。
0 引言
電鍍污水管道流量計價格由于具有許多優點,現已被廣泛應用于冶金、石化、化工、電力、環保、廢水及城市公用事業等許多領域,在流量計量中發揮著巨大的作用。在實際應用中,電鍍污水管道流量計價格具有非常嚴格的使用要求,如果設備選型、安裝或使用不當,則會引起測量誤差增大、示值不穩。因此,研究電鍍污水管道流量計價格測量誤差產生的原因及相應的解決辦法就顯得尤為重要。
1 基本原理
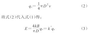
電鍍污水管道流量計價格的基本原理是法拉*電磁感應定律,即導體在磁場中作切割磁力線運動時,在其兩端產生感應電動勢。對于電鍍污水管道流量計價格,導電性液體在垂直于磁場的非磁性測量管內流動時,在與流向和磁場垂直方向上會產生與流量成正比的感應電動勢,其大小為:
E=kBDv(1)
式中:E為感應電動勢(V),k為系數;B為磁感應強度(T);D為兩電極間距離(此處為測量管內徑,m);v為流體流動速度(m/s)。
如令流體體積流量為qv(m3/s),則有

由此可見,E與qv成正比,此即電鍍污水管道流量計價格測量流量的理論依據。
2 測量誤差原因剖析及對策
由式(3)可知,k、B和D的變化以及磁場方向、電極連線與流體流向三者的垂直度都會引起測量誤差,也即造成電鍍污水管道流量計價格測量誤差的原因很多,包括儀表選型、安裝環境、安裝方法、使用及維護等諸多因素。
2.1 待測液體中含有氣泡
這是一種常見現象,氣泡的形成有外界吸入(如泵軸密封性變壞、負壓端管道連接墊圈泄露等)或液體中溶解氣體(空氣)轉變成游離狀氣泡析出兩種途徑,此時測量結果為包括氣泡體積的流量,這就導致了測量誤差。同時,如果氣泡直徑大于或等于電極直徑,還可造成測量值不穩定,使測量顯示值波動,如一臺DN2200電鍍污水管道流量計價格因氣泡造成的波動可達20%~50%。
解決辦法:1)更換安裝位置;2)如安裝位置不易更換,可在流量計上游安裝集氣器,定期排氣。
2.2 待測液體非滿管
非滿管是含有氣泡的一種極端情況,此時,如果液面高于電極水平面,前后直管段(可取前10D后5D)比較理想,測量一般是穩定的,但測量結果包含了管內上半部的氣體體積,測量誤差大;如果液面低于電極水平面,則測量回路處于開路狀態,測量結果嚴重失真。
解決辦法:1)盡量將電鍍污水管道流量計價格安裝在自下而上流動的垂直管道上;2)很多情況下電鍍污水管道流量計價格水平安裝,此時應安裝在管道*低端,且電極軸線應平行于地平線(否則處于低位的電極易被沉積物覆蓋);3)傳感器應安裝在泵的下游、控制閥的上游,以防止測量管內產生負壓;4)傳感器安裝口應有一定的背壓,別離直接排放口太近;5)現在已有新型電鍍污水管道流量計價格,可用來測量非滿管等自由表面自由流動液體流量,如市政工程下水、工業廢水排放計量等。
2.3 待測液體電導率劇變
如果被測液體電導率高頻率大幅度劇變,則會造成顯示值高頻大幅波動,甚至無法正常監視或相應控制系統無法正常工作。這種現象多見于化工行業。
解決這種問題的辦法是盡量從流量計下游注入化學物質,如果必須從上游注入時,則要在上游裝上足以完成化學反應或保證物料充分混合的直管段或反應器,以保證混合分布足夠均勻。
2.4 待測液體電導率太低
被測液體電導率降低,會增加電極的輸出阻抗(由被測液體電導率和電極大小決定),并由轉換器輸入阻抗引起負載效應而產生測量誤差,如果實際電導率低于下限值(一般為5μS/cm),則儀器不能正常工作,示值會晃動。
解決辦法:1)選用其它滿足要求的低電導率電鍍污水管道流量計價格,如電容式電鍍污水管道流量計價格;2)選用其它原理流量計,如孔板等。
2.5空間電磁波干擾
如果傳感器與轉換器間的電纜較長且周圍有強電磁干擾,則電纜可能引入干擾信號,形成共模干擾,造成顯示失真、非線性或大幅晃動。
解決辦法:1)盡量遠離強磁場(如大電機、大變壓器和電力電纜附近);2)盡量縮短電纜長度;3)采用屏蔽措施,包括采用符合要求的屏蔽電纜和將電纜單獨穿在接地鋼管內(不能與電源線同穿于一根管內)。
2.6傳感器接地
傳感器的輸出信號很小,通常只要幾毫伏,為了提高抗干擾能力,傳感器的零電位必須單獨可靠接地,且傳感器輸出信號接地點應與被測流體電氣連接。傳感器的接地電阻通常應小于10Ψ,在連接傳感器的管道內涂有絕緣層或采用非金屬管道時,傳感器兩側應安裝接地環,并可靠接地,以使流體接地,流體電位與地電位相同。
2.7測量管內有附著層
電鍍污水管道流量計價格常用來測量有易粘附、沉淀、結垢等非清潔流體的流量,電極表面和管道內壁常會受到污染。若附著層電導率與流體電導率相近,則不會產生原理性誤差,儀表示值還能正常,只是流體實際流通面積有所減小;若附著層為高電導率物質,則會使傳感器二電極間電阻變的很小,甚至短路,輸出顯示負偏差,甚至不能正常工作;若附著層為絕緣性物質,則電極間阻抗增加甚至開路,使誤差增大,甚至不能正常工作。
解決辦法:1)盡量選用玻璃或聚四氯乙烯等難附著沉淀的襯里;2)定期清洗,可采用機械法或化學法;3)流速不低于2m/s,*好提高到3~4m/s以上,這樣在一定程度上可起到自動清洗管道的目的,防止粘附沉淀。
2.8待測液體非對稱流動
正常情況下,要求流體在管道內流速為軸對稱分布,磁場均勻,E與v成正比。而實際上常會出現非軸對稱流速分布,此時,任**向可分為兩種流動的組合:一種是沿管道軸線的直線流,它對管道橫截面的積分為待測液體的體積流量;另一種是純粹的旋渦流,它對管道橫截面的積分為零,如旋渦流對輸出產生影響,即產生誤差。
解決辦法:1)上游有足夠的直管段(5D以上,視具體情況而定),以保證流速按同心圓分布;2)流量計內徑應與上下游一定范圍內的管道內徑相同,否則會使流速分布不均勻;3)如果上游直管段不足,可安裝流量調節器,這樣只能作部分補償。
2.9連接電纜問題
電鍍污水管道流量計價格是由特定的電纜將傳感器和轉換器連成一個系統,電纜長度、絕緣情況、屏蔽層數、分布電容及導體橫截面積等都會對測量結果產生影響,嚴重的還可能使流量計無法正常工作。
解決辦法:1)電纜越短越好,其長度應在允許的范圍之內,*大長度由待測液體電導率、屏蔽層數、分布電容及導體橫截面積等決定;2)應避免中間接頭,末端應處理好、連接好;3)盡量使用規定型號的電纜。
2.10電極及襯里材料選擇問題
電極及襯里材料直接與待測液體接觸,應根據待測液體的特性(如腐蝕性、磨蝕性等)及工作溫度選擇電極及襯里材料,如選擇不當,則會造成附著速度快、腐蝕、結垢、磨損、襯里變形等問題,進而產生測量誤差,所以在設備選型時應給于高度重視。
2.11勵磁穩定性問題
電鍍污水管道流量計價格的勵磁方式有直流勵磁、交流正弦波勵磁和雙頻矩形波勵磁等,直流勵磁容易產生電極極化和直流干擾問題,交流正弦勵磁容易引起零點變動,而雙頻矩形波勵磁既有低頻矩形波勵磁優良的零點穩定性,又有高頻矩形波勵磁對流體噪聲較強的抑制能力,是一種較理想的勵磁方式。實際應用時,應盡量保證電源電壓和頻率的穩定,以確保磁場強度恒定,減小由于磁場強度變化引起的測量誤差。
2.12 待測液體流速問題
電鍍污水管道流量計價格可測的流速范圍一般為0.5~10m/s,經濟流速范圍為1.5~3m/s。實際使用時要根據待測流量大小及電鍍污水管道流量計價格可測流速范圍來確定測量管內徑。
2.13混合相流體流量測量問題
用電鍍污水管道流量計價格測量液固混合相流體(如含泥沙的水)的流量時,如果選用由單相液體校準的電鍍污水管道流量計價格,則會產生測量誤差,此時應選擇不會引起液固相分離的直管段處安裝傳感器。
2.14電極與勵磁線圈對稱性問題
在加工制造過程中,電鍍污水管道流量計價格的電極與勵磁線圈要嚴格對稱,否則會存在不對稱偏差,進而對測量結果產生一定的影響,造成測量誤差。
2.15安裝點振動問題
電鍍污水管道流量計價格對安裝地點的振動有嚴格要求,尤其是一體型電鍍污水管道流量計價格必須安裝在振動小的場所,否則會產生一定的測量誤差,嚴重時儀表不能正常工作。
3 結束語
影響電鍍污水管道流量計價格測量準確度的因素很多,但只要深入掌握電鍍污水管道流量計價格的工作原理,認真對電鍍污水管道流量計價格測量系統的各個環節進行分析,就不難找出合理的減小測量誤差的辦法,從而保證電鍍污水管道流量計價格穩定運行和準確計量。
電鍍廠污水流量計現場檢修的正確步驟及注意要領
電鍍廠污水流量計在水煤漿氣化爐儀表設備國產化中應用的說明
電鍍污水流量計價格在鉀肥生產中的使用注意事項
電鍍污水流量計的特性供電選型與大流量水計量的應用
電鍍污水管道流量計價格測量誤差原因剖析及對策
電鍍污水處理流量計,電鍍廠廢水處理流量計價格
電鍍污水流量計,dn200污水流量計
電鍍污水流量計,工業污水流量計
電鍍污水流量計,污水處理廠出水流量計
電鍍污水流量計,酸堿污水流量計
電鍍污水流量計,污水流量計量表
電鍍污水流量計,污水處理廢水流量計
電鍍廠污水管道流量計在如何做到正確的維護和保養
電鍍污水流量計,防腐污水流量計
電鍍污水流量計價格
電鍍污水流量計
電鍍污水流量計,管道污水流量計
電鍍污水流量計,dn125污水流量計
電鍍污水流量計,dn50污水流量計
電鍍污水流量計,地下管道污水流量計
0 引言
電鍍污水管道流量計價格由于具有許多優點,現已被廣泛應用于冶金、石化、化工、電力、環保、廢水及城市公用事業等許多領域,在流量計量中發揮著巨大的作用。在實際應用中,電鍍污水管道流量計價格具有非常嚴格的使用要求,如果設備選型、安裝或使用不當,則會引起測量誤差增大、示值不穩。因此,研究電鍍污水管道流量計價格測量誤差產生的原因及相應的解決辦法就顯得尤為重要。
1 基本原理
電鍍污水管道流量計價格的基本原理是法拉*電磁感應定律,即導體在磁場中作切割磁力線運動時,在其兩端產生感應電動勢。對于電鍍污水管道流量計價格,導電性液體在垂直于磁場的非磁性測量管內流動時,在與流向和磁場垂直方向上會產生與流量成正比的感應電動勢,其大小為:
E=kBDv(1)
式中:E為感應電動勢(V),k為系數;B為磁感應強度(T);D為兩電極間距離(此處為測量管內徑,m);v為流體流動速度(m/s)。
如令流體體積流量為qv(m3/s),則有
由此可見,E與qv成正比,此即電鍍污水管道流量計價格測量流量的理論依據。
2 測量誤差原因剖析及對策
由式(3)可知,k、B和D的變化以及磁場方向、電極連線與流體流向三者的垂直度都會引起測量誤差,也即造成電鍍污水管道流量計價格測量誤差的原因很多,包括儀表選型、安裝環境、安裝方法、使用及維護等諸多因素。
2.1 待測液體中含有氣泡
這是一種常見現象,氣泡的形成有外界吸入(如泵軸密封性變壞、負壓端管道連接墊圈泄露等)或液體中溶解氣體(空氣)轉變成游離狀氣泡析出兩種途徑,此時測量結果為包括氣泡體積的流量,這就導致了測量誤差。同時,如果氣泡直徑大于或等于電極直徑,還可造成測量值不穩定,使測量顯示值波動,如一臺DN2200電鍍污水管道流量計價格因氣泡造成的波動可達20%~50%。
解決辦法:1)更換安裝位置;2)如安裝位置不易更換,可在流量計上游安裝集氣器,定期排氣。
2.2 待測液體非滿管
非滿管是含有氣泡的一種極端情況,此時,如果液面高于電極水平面,前后直管段(可取前10D后5D)比較理想,測量一般是穩定的,但測量結果包含了管內上半部的氣體體積,測量誤差大;如果液面低于電極水平面,則測量回路處于開路狀態,測量結果嚴重失真。
解決辦法:1)盡量將電鍍污水管道流量計價格安裝在自下而上流動的垂直管道上;2)很多情況下電鍍污水管道流量計價格水平安裝,此時應安裝在管道*低端,且電極軸線應平行于地平線(否則處于低位的電極易被沉積物覆蓋);3)傳感器應安裝在泵的下游、控制閥的上游,以防止測量管內產生負壓;4)傳感器安裝口應有一定的背壓,別離直接排放口太近;5)現在已有新型電鍍污水管道流量計價格,可用來測量非滿管等自由表面自由流動液體流量,如市政工程下水、工業廢水排放計量等。
2.3 待測液體電導率劇變
如果被測液體電導率高頻率大幅度劇變,則會造成顯示值高頻大幅波動,甚至無法正常監視或相應控制系統無法正常工作。這種現象多見于化工行業。
解決這種問題的辦法是盡量從流量計下游注入化學物質,如果必須從上游注入時,則要在上游裝上足以完成化學反應或保證物料充分混合的直管段或反應器,以保證混合分布足夠均勻。
2.4 待測液體電導率太低
被測液體電導率降低,會增加電極的輸出阻抗(由被測液體電導率和電極大小決定),并由轉換器輸入阻抗引起負載效應而產生測量誤差,如果實際電導率低于下限值(一般為5μS/cm),則儀器不能正常工作,示值會晃動。
解決辦法:1)選用其它滿足要求的低電導率電鍍污水管道流量計價格,如電容式電鍍污水管道流量計價格;2)選用其它原理流量計,如孔板等。
2.5空間電磁波干擾
如果傳感器與轉換器間的電纜較長且周圍有強電磁干擾,則電纜可能引入干擾信號,形成共模干擾,造成顯示失真、非線性或大幅晃動。
解決辦法:1)盡量遠離強磁場(如大電機、大變壓器和電力電纜附近);2)盡量縮短電纜長度;3)采用屏蔽措施,包括采用符合要求的屏蔽電纜和將電纜單獨穿在接地鋼管內(不能與電源線同穿于一根管內)。
2.6傳感器接地
傳感器的輸出信號很小,通常只要幾毫伏,為了提高抗干擾能力,傳感器的零電位必須單獨可靠接地,且傳感器輸出信號接地點應與被測流體電氣連接。傳感器的接地電阻通常應小于10Ψ,在連接傳感器的管道內涂有絕緣層或采用非金屬管道時,傳感器兩側應安裝接地環,并可靠接地,以使流體接地,流體電位與地電位相同。
2.7測量管內有附著層
電鍍污水管道流量計價格常用來測量有易粘附、沉淀、結垢等非清潔流體的流量,電極表面和管道內壁常會受到污染。若附著層電導率與流體電導率相近,則不會產生原理性誤差,儀表示值還能正常,只是流體實際流通面積有所減小;若附著層為高電導率物質,則會使傳感器二電極間電阻變的很小,甚至短路,輸出顯示負偏差,甚至不能正常工作;若附著層為絕緣性物質,則電極間阻抗增加甚至開路,使誤差增大,甚至不能正常工作。
解決辦法:1)盡量選用玻璃或聚四氯乙烯等難附著沉淀的襯里;2)定期清洗,可采用機械法或化學法;3)流速不低于2m/s,*好提高到3~4m/s以上,這樣在一定程度上可起到自動清洗管道的目的,防止粘附沉淀。
2.8待測液體非對稱流動
正常情況下,要求流體在管道內流速為軸對稱分布,磁場均勻,E與v成正比。而實際上常會出現非軸對稱流速分布,此時,任**向可分為兩種流動的組合:一種是沿管道軸線的直線流,它對管道橫截面的積分為待測液體的體積流量;另一種是純粹的旋渦流,它對管道橫截面的積分為零,如旋渦流對輸出產生影響,即產生誤差。
解決辦法:1)上游有足夠的直管段(5D以上,視具體情況而定),以保證流速按同心圓分布;2)流量計內徑應與上下游一定范圍內的管道內徑相同,否則會使流速分布不均勻;3)如果上游直管段不足,可安裝流量調節器,這樣只能作部分補償。
2.9連接電纜問題
電鍍污水管道流量計價格是由特定的電纜將傳感器和轉換器連成一個系統,電纜長度、絕緣情況、屏蔽層數、分布電容及導體橫截面積等都會對測量結果產生影響,嚴重的還可能使流量計無法正常工作。
解決辦法:1)電纜越短越好,其長度應在允許的范圍之內,*大長度由待測液體電導率、屏蔽層數、分布電容及導體橫截面積等決定;2)應避免中間接頭,末端應處理好、連接好;3)盡量使用規定型號的電纜。
2.10電極及襯里材料選擇問題
電極及襯里材料直接與待測液體接觸,應根據待測液體的特性(如腐蝕性、磨蝕性等)及工作溫度選擇電極及襯里材料,如選擇不當,則會造成附著速度快、腐蝕、結垢、磨損、襯里變形等問題,進而產生測量誤差,所以在設備選型時應給于高度重視。
2.11勵磁穩定性問題
電鍍污水管道流量計價格的勵磁方式有直流勵磁、交流正弦波勵磁和雙頻矩形波勵磁等,直流勵磁容易產生電極極化和直流干擾問題,交流正弦勵磁容易引起零點變動,而雙頻矩形波勵磁既有低頻矩形波勵磁優良的零點穩定性,又有高頻矩形波勵磁對流體噪聲較強的抑制能力,是一種較理想的勵磁方式。實際應用時,應盡量保證電源電壓和頻率的穩定,以確保磁場強度恒定,減小由于磁場強度變化引起的測量誤差。
2.12 待測液體流速問題
電鍍污水管道流量計價格可測的流速范圍一般為0.5~10m/s,經濟流速范圍為1.5~3m/s。實際使用時要根據待測流量大小及電鍍污水管道流量計價格可測流速范圍來確定測量管內徑。
2.13混合相流體流量測量問題
用電鍍污水管道流量計價格測量液固混合相流體(如含泥沙的水)的流量時,如果選用由單相液體校準的電鍍污水管道流量計價格,則會產生測量誤差,此時應選擇不會引起液固相分離的直管段處安裝傳感器。
2.14電極與勵磁線圈對稱性問題
在加工制造過程中,電鍍污水管道流量計價格的電極與勵磁線圈要嚴格對稱,否則會存在不對稱偏差,進而對測量結果產生一定的影響,造成測量誤差。
2.15安裝點振動問題
電鍍污水管道流量計價格對安裝地點的振動有嚴格要求,尤其是一體型電鍍污水管道流量計價格必須安裝在振動小的場所,否則會產生一定的測量誤差,嚴重時儀表不能正常工作。
3 結束語
影響電鍍污水管道流量計價格測量準確度的因素很多,但只要深入掌握電鍍污水管道流量計價格的工作原理,認真對電鍍污水管道流量計價格測量系統的各個環節進行分析,就不難找出合理的減小測量誤差的辦法,從而保證電鍍污水管道流量計價格穩定運行和準確計量。


